Abdo
Abdo
same issue here I've tried several other osmosdr receivers (limesdr, bladerf, and rtlsdr)
Can you please share what antenna and configuration file you are using and whether you have a biast, I see the author of this paper https://www.mdpi.com/2076-3263/10/2/79 managed to get it...
This config file shows the respective gains from gnss-sdr to osmosdr: https://github.com/gnss-sdr/gnss-sdr/blob/master/conf/gnss-sdr_GPS_L1_bladeRF.conf ;# RF Gain: LNA Gain {0, 3, 6} SignalSource.gain=6 ;# IF Gain: N/A SignalSource.rf_gain=40 ;# BB Gain: RX...
Yes the specific values are for bladerf and the ranges shown are the ones supported by the bladerf. But the naming of the gains apply to all osmosdr receivers. So...
Ahh for me it was the antenna, below are the results I'm obtaining for with the rtl-sdr and this antenna: https://www.tersus-gnss.com/product/antenna-ax3703 as you see multiple location and velocity estimates are...
What ros topic does rovio-flow used for wheel odometry? This should help figuring how to interface the vehicle can bus.
I'm trying a more powerful PC and proper plotting, this is what I get: 
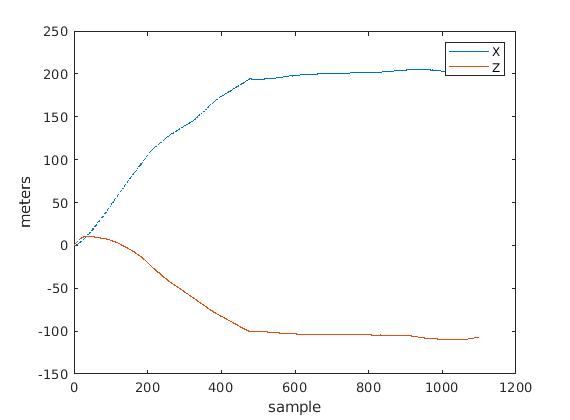
When increasing the rate to 0.125 12 samples go missing, in both cases the odometry becomes dense towards the end  At around sample 200/1100 X and Z level off,...
I get some improvements when configuring the odometry application by uncommenting the catkin config related lines in the dockerfile   Now, at near sample 500 the XZ trajectory is...
I found this was an issue with one of the data samples annotation ``` 0 370 0 407 ``` xmin and xmax are in the same place which doesn't make...