Rubem Vasconcelos Pacelli
Rubem Vasconcelos Pacelli
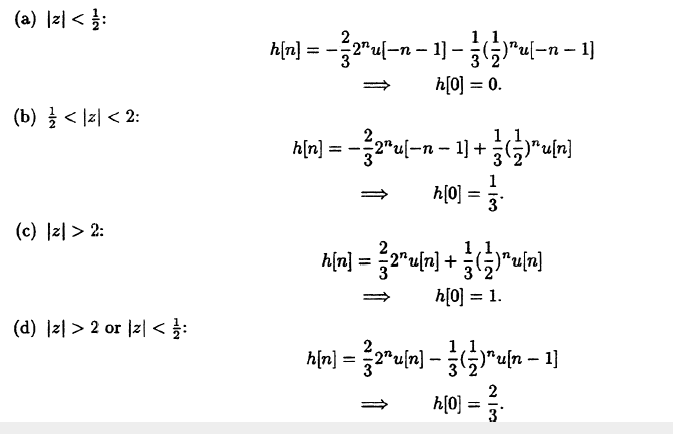
Hello, i made one adjust in one question of your material. O question 3.17, there was four possibles ROC for H(z), this ROC was:  But i see one erro...
I've set up `alpha-nvim` to work along with `Shatur/neovim-session-manager` which, in turn, makes use of [telescope-ui-select.nvim](https://github.com/nvim-telescope/telescope-ui-select.nvim) to handle `vim.ui.select` with `telescope`. Whenever I try to select a session in a...
### Describe the bug Dears, I am using the following snippet from a [stack exchange answer](https://unix.stackexchange.com/a/97844/480687): ``` autoload -U history-search-end zle -N history-beginning-search-backward-end history-search-end zle -N history-beginning-search-forward-end history-search-end bindkey "^[[A"...
I've been reading books of some areas related to engineering/computer fields, such as, digital and statistical signal processing, pattern recognition, machine learning, system identification etc... A lot of them uses...
The path `File>Preferences>User Settings`, wrote in the `README.md`, does not exist anymore. Now is just `File>Preferences> Settings` :) `vs code` info: ``` Version: 1.65.2 Commit: c722ca6c7eed3d7987c0d5c3df5c45f6b15e77d1 Date: 2022-03-10T15:36:26.048Z Electron: 13.5.2...
## Description of bug / unexpected behavior `self.add_fixed_in_frame_mobjects(x)` should fix the object `x` on the 2D screen while one works in a 3D Scene. In fact, it works when `x`...
I cannot display any image preview on `fff`. I've already installed `w3m-img` (found with the name `w3m` on Manjaro), `xdotool`, `fbset`, in addition to the `w3m`'s dependencies (openssl gc ncurses...
## Preliminary questions ### Disable all the other extensions except for LaTeX Workshop, and check that you still see this issue. [Required] You still see this issue?: Yes ### Make...
I am studying the impact of the scintillation phenomena on GNSS receivers. At the moment, I have the scintillation signal generated by the [Cornel model](https://radionavlab.ae.utexas.edu/images/stories/files/papers/simScint04_for_distributionW.pdf) and the GPS signal generated...
**https://github.com/tapyu/awesome-stem-academy** **An awesome list of academic resources which is tailored to STEM, that is, Science, Technology, Engineering, Mathematics (no Arts). Specially focused on theoretical aspects.** ### By submitting this pull...