Kai Zhang
Kai Zhang
> Actuall, just let me upload the case files. > [axialFlowMexico-v2.tar.gz](https://github.com/turbinesFoam/turbinesFoam/files/1794521/axialFlowMexico-v2.tar.gz) > [axialFlowDTU_v1.tar.gz](https://github.com/turbinesFoam/turbinesFoam/files/1794522/axialFlowDTU_v1.tar.gz) Hi hcOnel, I'm new to wind turbine modeling. May I ask where did obtain the DTU turbine...
To answer my own questions, the sign of blade twist angle is opposite from that of AeroDyn. Once I reverse the twist angle in elementData, the flow field looks correct.
Hi hcOnel, I'm having the same problem here. The agreement between BEM and ALM is fairly good at low TSR. At higher TSR, ALM is still able to capture the...
When I change the pitch of the blades, ALM is able to produce a similar trend with BEM, although the detailed values are different. 
Hi, @hcOnel! It's nice to have a shoulder to cry on ;_; My base mesh is 10x10x10m, the turbine and wake regions are refined 3 levels: 1.25x1.25x1.25m, so there are...
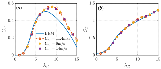
I'm here to report some new results. Using smaller CFL number (0.1) and wider refinement region (shown below), the Cp and Ct curves look much better than before!  
I'm referring to the CFL in the conventional sense. It is constant for all TSR. With CFL=0.1, the timestep is around 0.007 for TSR=10. The inflow velocity is 11.4 m/s,...
Thank you Jeremy! I will have a look the references you mentioned. Meanwhile, here is a sketch of what I want to do, and a test case is also attached....
Thank you @adam-urbanczyk and @marcus7070 for the discussions, and sorry for not being clear about my questions. Yes, I meant when I use a different type of airfoil along the...
Thanks @adam-urbanczyk for the suggestions. I investigated my codes a little bit more, and found that the `sweep` operation still failed when there is a large change in the sectional...