Peter Humburg
Peter Humburg
I'm encountering an issue with bpipe where a `from produce` block is executed twice. The pipeline stage looks something like this: ``` merge_bam = { def sample = input.split('/')[-1] sample...
I'm using bpipe's `chr` statement to process bam files by chromosome. One of the stages in my pipeline produces two sets of bam files with names like `...bam` and `...bam`....
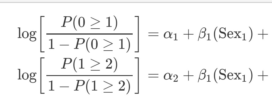
For *MASS::polr* models the output I get from `extract_eq()` looks something like this:  Here the left-hand side of the equation seems to have the form *logit(P(j >= j+1))*. I...
I've encountered an issue (using version 1.4.0) where the ROC curve is missing from the plot produced by *roc_plot()*. See the image below for an example. As far as I...
Add a section with brief summary and discussion at the end to wrap things up.
Add an example bibliography to illustrate the use of this pandoc feature.
Given the path to a document template and a set of parameters (in a parent document), run the template with the given input and add the output as a child...
Allow a parent document to pass parameters to its children. This would help to ensure consistency of parameters used in an analysis or the specification of input data for a...
In its current state *reportMD* is largely constrained to sequential rendering of documents in a report. It also works best when used from RStudio. In cases where the analysis is...
Support inclusion of Shiny figures for improved interactivity. Required features - Support figure numbering and referencing - allow for switching between this and other formats via the _format_ option -...