erik-werner
erik-werner
`unlabeled_idx = np.random.choice(unlabeled_idx, np.min([labeled_idx.shape[0]*10, unlabeled_idx.size]), replace=False)` I suppose the reason for this line is that you want a somewhat balanced train set for the discriminator. But when you do the...
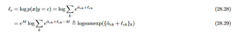
 On the second line, the e^M should be inside the log (or replaced with $ M + ... $ )
- Fix crashes by renaming *_dim_0 to *_dim_2 - Make sampling deterministic - Slightly modify some plots + [x] Notebook follows style guide https://docs.pymc.io/en/latest/contributing/jupyter_style.html + [ ] PR description contains...
**Regression Models with Ordered Categorical Outcomes**: **https://www.pymc.io/projects/examples/en/latest/generalized_linear_models/GLM-ordinal-regression.html**: ## Issue description After `make_model()` is defined, five different models are created and sampled from. Unfortunately, models 1-2 have hundreds of divergences. Models...