Meekail Zain
Meekail Zain
This will also require a change to `utisl.tests.test_extmath::test_uniform_weights`
I tested whether it would be worth optionally passing `labels` as output through `compute`, attenuated with a keyword parameter `return_labels` since they're computed essentially for free in the same reduction...
It seems that the new implementation performs at least as well as the current one (for `weights='uniform')` _except_ when parallelizing over `Y`. See plots: Plot  Will need to investigate...
@jjerphan Currently the multi-output is blocked on what I believe is a [cython bug](https://github.com/cython/cython/issues/4966). Here's a [PR](https://github.com/Micky774/scikit-learn/pull/3) on my fork that shows what I'm attempting. If you perhaps have a...
Waiting on #24043 to be merged, then will compile cumulative benchmarks for this PR.
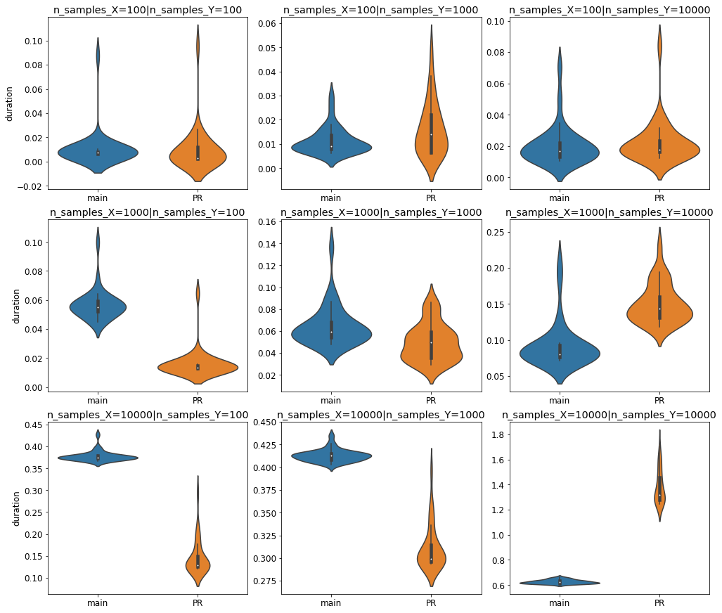
Preliminary benchmarks I think indicate that either: 1. we could benefit from some fine-tuning w.r.t parallel on `X` vs `Y`, or 2. the implementation for deploying parallel on `Y` could...
> I would like to understand what's wrong. Can you provide the script you used to produce this plot? Sure, here's the [gist](https://gist.github.com/Micky774/0892213fbf9b7dccac64db2a1bbbd46e) for it. Note I benchmark `predict` but...
Already very [helpful](https://github.com/scikit-learn/scikit-learn/pull/24043) it seems :)
Do we know if we can actually attribute any errors to the old method? While the new one is safer and more aligned with some [recent changes](https://github.com/scikit-learn/scikit-learn/pull/23034) I'm just wondering...
> @jjerphan I've created a minimal reproducible example that prints `self.weights_` of `GaussianMixture` in the following [gist](https://gist.github.com/kasmith11/e91ec5b99a2ca295423ba728954ed17a) that heavily leans on the example outlined in the Sklearn documentation. This prints...