Futureye_JIT
Futureye_JIT copied to clipboard
FuturEye_JIT is a Java Finite Element Method (FEM) library for solving PDE based forward/inverse problems as efficient as hand written FORTRAN code.
FuturEye_JIT is a Finite Element Method (FEM) library for solving Partial Defferential Equation (PDE) based forward/inverse problems. Java is widely used in the industry level software and systems. The JVM's HotSpot Just-In-Time (JIT) compiler allows the speed of the Java program to approach that of a native application. FuturEye_JIT makes use of the JIT feature by generating small sized Java bytecode functions at runtime for the mathematical expressions in the definitoin of a problem. The resulting code is as efficient as hand written FORTRAN FEM code.
FuturEye_JIT provides a mathematically appealing way for building functions and weak forms of a problem by using the Java operator overloading technique (https://github.com/amelentev/java-oo). Thus a concise, natrual and human friendly application programming interface (API) is provided.
The basic components in FEM are abstracted out, such as node, element, mesh, degree of freedom and shape function. The data structure and operation of these classes are encapsulated properly by OOP. The things that make FuturEye_JIT unique among the existing object-oriented FEM software or libraries are the function classes. The behavior of the function classes in Futureye_JIT is very similar to that in the human readable mathematical context. For example algebra of functions, function derivatives and composition of functions. Especially in FEM theory, shape functions, Jacobin of coordinate transform and numerical integration are all based on the function classes. This feature leads to a close integration between the mathematical theory and it's computer implementation. FuturEye_JIT is designed to solve 1D, 2D and 3D PED problems with scalar or vector valued unknowns. It is motivated by solving PDE based inverse problem in the application of optical tomography where the word 'FuturEye' came from.
FuturEye_JIT is suitable for various purposes:
*Teaching: The feature of close relation to the mathematical theory of FEM helps the students to understand basic FEM concepts, e.g. shape functions, Jacobian and the assembly process.
*Research: FuturEye_JIT helps researchers quickly develop and test their models, experiment with data and algorithms. e.g. new equations, new finite elements and new solution methods without concerning too much about programming basic components in FEM.
*Engineering: Futureye_JIT is designed to be robust and efficient. Industry level of applications can be easily built with it.
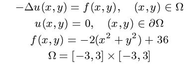
Laplace Example
| Equation | Contour Plot | 3D Plot |
|---|---|---|
![]() |
![]() |
![]() |
Code
package edu.uta.futureye.tutorial;
import static edu.uta.futureye.function.FMath.C0;
import static edu.uta.futureye.function.FMath.grad;
import static edu.uta.futureye.function.FMath.x;
import static edu.uta.futureye.function.FMath.y;
import java.util.HashMap;
import edu.uta.futureye.algebra.intf.Matrix;
import edu.uta.futureye.algebra.intf.Vector;
import edu.uta.futureye.algebra.solver.external.SolverJBLAS;
import edu.uta.futureye.core.Mesh;
import edu.uta.futureye.core.NodeType;
import edu.uta.futureye.function.intf.MathFunc;
import edu.uta.futureye.io.MeshReader;
import edu.uta.futureye.io.MeshWriter;
import edu.uta.futureye.lib.assembler.Assembler;
import edu.uta.futureye.lib.element.FELinearTriangle;
import edu.uta.futureye.lib.weakform.WeakForm;
import edu.uta.futureye.util.Utils;
public class LaplaceGlobalAssemble {
public void run() {
// 1.Read in mesh
MeshReader reader = new MeshReader("grids/triangle.grd");
Mesh mesh = reader.read2DMesh();
// Compute geometry relationship between nodes and elements
mesh.computeNodeBelongsToElements();
// 2.Mark boundary type(s)
HashMap<NodeType, MathFunc> mapNTF = new HashMap<NodeType, MathFunc>();
mapNTF.put(NodeType.Dirichlet, null); //null => mark all boundary nodes
mesh.markBorderNode(mapNTF);
// 3. Weak form definition
FiniteElement fe = new FELinearTriangle(); // Linear triangular finite element
final MathFunc f = -2 * (x * x + y * y) + 36; //Right hand side (RHS)
WeakForm wf = new WeakForm(fe,
(u,v) -> grad(u, "x", "y").dot(grad(v, "x", "y")),
v -> f * v
);
wf.compile();
// 4. Assembly and boundary condition(s)
Assembler assembler = new Assembler(mesh, wf);
assembler.assembleGlobal();
Matrix stiff = assembler.getGlobalStiffMatrix();
Vector load = assembler.getGlobalLoadVector();
// Apply zero Dirichlet boundary condition
Utils.imposeDirichletCondition(stiff, load, fe, mesh, C0);
// 5. Solve the linear system
SolverJBLAS solver = new SolverJBLAS();
Vector u = solver.solveDGESV(stiff, load);
System.out.println("u=");
for (int i = 1; i <= u.getDim(); i++)
System.out.println(String.format("%.3f ", u.get(i)));
// 6. Output the result to a file with Techplot format
MeshWriter writer = new MeshWriter(mesh);
writer.writeTechplot("./tutorial/Laplace2D.dat", u);
}
public static void main(String[] args) {
LaplaceGlobalAssemble ex1 = new LaplaceGlobalAssemble();
ex1.run();
}
}
Upwind technique for 1D convection diffusion problem
Upwind technique for 1D convection diffusion problem is supported by using user defined function. The upwind coefficient depends on the element and degree of freedom (DOF) information during assembling. These information is passed into the user defined function through AssembleParam. The user defined function will be called by the generated bytecode function of the weak form.
MathFunc upwindCoef = new UserDefFunc() {
//@Override
public double apply(AssembleParam ap, double... args) {
Node node1 = ap.element.nodes.at(ap.testDOFIdx);
Node node2 = ap.element.nodes.at(ap.testDOFIdx==1?2:1);
double coord1 = node1.coord(1);
double coord2 = node2.coord(1);
double upwindWeight = 0.0;
if((coord2-coord1)*u > 0) {
upwindWeight = -0.1;
} else {
upwindWeight = 0.1;
}
return upwindWeight;
}
};
// Weak form definition
WeakForm wf = new WeakForm(
new FELinearLine1D(),
(c, v) -> k * c.diff("x") * v.diff("x") + u * c.diff("x") * (v + upwindCoef),
(v) -> C0
);
wf.compile();
Stokes Equation in A Box
| Equation | Weak form | Solution |
|---|---|---|
![]() |
![]() |
![]() |
Code
/**
* Stokes problem is defined as
* -\nabla\cdot(k\nabla{\vec{u}}) + \nabla{p} = \vec{f}\\
* div~{\vec{u}} = 0
*
* or written explicitly in each dimension:
* -k*(u1_xx+u1_yy) + p_x = f1
* -k*(u2_xx+u2_yy) + p_y = f2
* u1_x+u2_y = 0
* The weak form is
* find \vec{u} \in H_0^1(div;\Omega), p \in L_2(\Omega)
* such that, for all \vec{v} \in H_0^1(div;\Omega), q \in L_2(\Omega)
*
* (\nabla{\vec{v}},k\nabla{\vec{u}}) - (div~{\vec{v}},p)
* + (q,div~{\vec{u}}) = (\vec{v},\vec{f})
* or written explicitly:
* (v1_x,k*u1_x) + (v1_y,k*u1_y) + (v2_x,k*u2_x) + (v2_y,k*u2_y)
* - (v1_x+v2_y,p) + (q,u1_x+u2_y) = (v1*f1+v2*f2)
* where
* \vec{u}=(u1,u2): velocity vector field
* \vec{f}=(f1,f2): body force
*
*/
// Weak form definition
FEQuadraticV_LinearP fe = new FEQuadraticV_LinearP();
MathFunc k = C1;
VecMathFunc f = new SpaceVectorFunction(C0, C0);
VecWeakForm wf = new VecWeakForm(fe,
(u, v) -> k * grad(u[1],"x","y" ).dot(grad(v[1],"x","y")) // (v1_x,k*u1_x) + (v1_y,k*u1_y)
+ k * grad(u[2],"x","y" ).dot(grad(v[2],"x","y")) // + (v2_x,k*u2_x) + (v2_y,k*u2_y)
- (v[1].diff("x")+v[2].diff("y"))*u[3] // - (v1_x+v2_y,p) //where p=u[3]
+ v[3]*(u[1].diff("x")+u[2].diff("y")), // + (q,u1_x+u2_y) //where q=v[3]
(v)-> v[1]*f[1] + v[2]*f[2]);
wf.compile();
Click here for more examples.
If you are a NetBeans user
check out here: Futureye_JIT with NetBeans IDE
Citing Our Papers
If you were using Futureye_JIT for academic research, you are encouraged to cite the following papers:
News
(Oct. 2018) FuturEye and SymJava are integrated in Symplegma, a JVM implementation for numerical methods in computational mechanics. Please find out the details here in FOSSCOMM 2018 conference (Free and Open Source Software Communities Meeting) which is the pan-Hellenic conference of free and open source software communities.





