semantics
semantics copied to clipboard
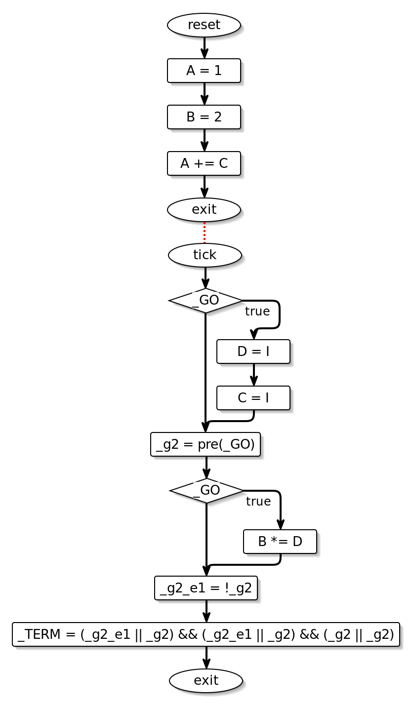
[KISEMA-1600] Incomplete GO Conditional Merger breaks Assignment Order
[Issue KISEMA-1600 migrated from JIRA, first reported on 2020-08-14]
In the following example the GO conditionals are only partially merged and moved into reset resulting in an invalid assignment order and wrong behavior.

scchart Main {
input int I
output int A, B, C, D
initial state Init ""
immediate do A = 1; B = 2
go to Compute
state Compute "" {
region {
initial state A ""
immediate do D = I
go to B
connector state B
immediate do A += C
go to C
state C ""
go to D
final state D ""
}
region {
initial state A ""
immediate do C = I
go to B
connector state B
immediate do B *= D
go to C
state C ""
go to D
final state D ""
}
}
join to End
final state End ""
}
