Add MathJax library to support formulas and mathematical expressions
Context
Currently, it is not possible to add formulas and mathematical expressions in a reader-friendly format.
Expected Behavior
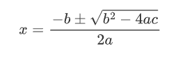
Expressions like fractions, square roots, exponentiation, etc. should be displayed as intended. See screenshots below.
Current Behavior
Depending on the input format, the expressions are either hardly readable, or just plain wrong because mathematical symbols are not rendered. Please see the screenshots below.
Screenshots
Example 1: expected behaviour

Example 1: current behaviour

Example 2: expected behaviour

Example 2: current behaviour

Steps to reproduce
Please provide detailed steps for reproducing the issue
- Enter the following snippet to a new Codú post. Please also note that the formula is displayed correctly below.
n = (…(((b_{N}*B+ b_{N-1} )*B+ b_{N-2} )*B+ b_{N-3} )*B+⋯+b_{1} )*B+ b_{0}
Wrapping the code into $$ instead of a code block does not change the behaviour.
Additional info
Please add the MathJax library to enable the use of mathematical expressions and formulas.
Hello, since this is an open PR, let me know if this feature is still needed and if I can be assigned to it? Cheers!
@NiallJoeMaher
As an update, we are building a new editor so we will add this as a feature request now since we are building from scratch.