Spurious negative damping when running AD15 and BD
Bug description When BeamDyn is called, the number of nodes in the AD15 blade input file greatly influences the aeroelastic damping values. There might be an issue in the load mapping between BD and AD15 blade nodes
To Reproduce Steps to reproduce the behavior:
- Unzip BF_align_nodes.zip
- Run the .fst file with OpenFAST 3.2 switching between bar_urc_stab_13_AeroDyn15_blade.dat and bar_urc_stab_13_AeroDyn15_blade2.dat
- Compile pyFAST and run the linearization script https://github.com/OpenFAST/python-toolbox/blob/dev/pyFAST/linearization/campbell.py
- In the case where AD15 and BD nodes aren't matching, you'll obtain negative damping. When nodes match, negative damping disappears
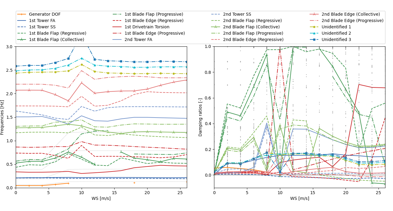
Expected behavior No negative damping is expected in this design at this wind speed.
Screenshots, if applicable
I've run longer simulations at multiple wind speeds and I've confirmed the problem.
Here the Campbell with node mismatch (note that I didn’t spend much time identifying the modes correctly)
And the one with nodes realigned

And the time domain results at wind = 26 m/s. The solutions change slightly, but I suspect that’s only the effect of mesh refinement in AD15 (from 30 to 59 elements).

OpenFAST Version OpenFAST 3.2 compiled on HPC system eagle with Intel compilers